波束成形(Beamforming或TxBF)技术是将信号以一种能量集中和定向方式发送给客户端的技术,能全面改善客户端接收的信号质量,并提升吞吐量。
多天线系统中,如果不同天线传输的信号在传输到达某一位置时存在两条衰减相等的波束,且两条波束相位相反,就可能会出现空间空洞。802.11n标准提供的波束成形技术,可以通过预先补偿发射天线的相位,让两条波束进行叠加以实现最好的效果。

波束成形通过对传输信号进行加权来改善接收情况,加权系数是通过传播环境或者信道状态信息CSI(Channel State Information)来获取的。按照结构和设置来划分,波束成形可以分为显式波束成形(Explicit beamforming)和隐式波束成形(Implicit beamforming)两种。
显式波束成形
显式波束成形是一种需要终端反馈信道信息的波束成形方式。 在802.11n和802.11ac协议中,显式波束成形信道信息的探测和反馈流程如下:

- AP向STA发送探测数据(Training
Symbol)。在802.11n协议中,AP发送探测数据包括空数据包(NDP)和交错前导码两种方式;在802.11ac协议中则直接使用NDP的方式。
- 空数据包(NDP) NDP是一种没有数据的空帧,其没有负荷。AP向STA发送NDP探测通告和空数据包,STA收到探测通告和空数据包后进行信道信息反馈。
- 交错前导码 交错前导码是利用发送的带有负荷的帧实现探测,这个帧会承载一个MAC帧和探测信道。
- STA向AP反馈信道信息。
- 在802.11n协议中,STA的信道信息反馈有三种方式:
- CSI方式 STA将原始的信道信息直接发送给AP,由AP计算最终的波束成形权重值。
- 非压缩波束成形权重值 STA收到探测后,由STA计算出波束成形权重值后反馈给AP。这种方式会增加系统开销,因此有了压缩波束成形权重值。
- 压缩波束成形权重值 同样是由STA计算出波束成形权重值后反馈给AP,并且通过一些方法降低了系统开销。
- 在802.11ac协议中,STA采用compressed V matrix的方式反馈信道信息。
- 在802.11n协议中,STA的信道信息反馈有三种方式:
- AP根据STA反馈或自己计算的权重信息进行波束成形,多径信号在STA处汇聚,形成增益。
隐式波束成形
隐式波束成形最初的设想是不需要STA来反馈信道信息的,其采用的方式是利用时分双工TDD(Time Division Duplexing)系统的互易性(即认为同频段的上下行的信道状态信息是相等的),将上行信道信息直接应用于下行,进行波束成形。 在802.11n协议中,隐式波束成形信道信息的探测和反馈流程如下:

隐式波束成形与显示波束成形在流程上的差异在于:显示波束成形中STA反馈的是真实的CSI信息,而隐式波束成形则认为上下行的信道信息是相等的,并不是真实的信道信息。 在实际应用中,由于上下行通道的差异,直接将上行信道应用于下行的方式效果可能不好,为了提升效果,仍然需要STA获取并向AP反馈下行信道的CSI,协助AP完成上下行信道之间的信道校准。校准的步骤如下:
- AP向STA发送校准开始帧,同时该帧也是一个探测起始帧。
- STA接收到探测帧后发送响应帧(校准响应帧+探测响应帧),以协助AP完成上行信道评估。
- AP根据STA的响应帧完成上行信道评估并继续发送校准帧(包含探测帧和CSI反馈帧),以协助STA收集下行信道信息,并要求STA完成信道收集后向AP反馈信道信息。
在实际应用中,终端对于显示波束成形和隐式波束成形的支持情况并不好,尤其是部分老旧终端,因此出现了一种完全不需要终端参与的波束成形,即Legacy Beamforming。
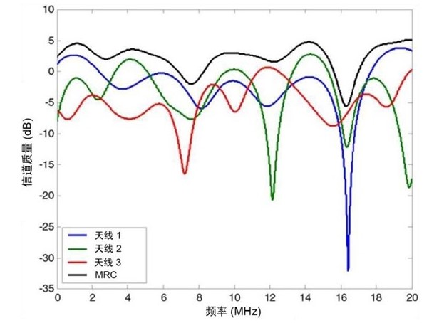
Legacy Beamforming Legacy Beamforming是将上行信号通过最大比合并MRC(Maximal Ratio Combining)合并时获得的信道信息直接应用于下行发射,从而在下行获得波束成形。这里以3根天线的AP为例说明具体的流程:

- AP在上行收到3个相位和幅度都不相同的信号。
- 通过MRC将3个信号进行相位校正,并按照适当的可变增益加权再相加后送入检测器进行相干检测,将3个信号合并为一个信号。如下图所示。

AP获取到上行优化后的各路信号的相位和权重后,在下行发送给同一个终端的不同分支上直接使用与上行相同的相位和幅度(与权重相关),这样在终端处就可以获得波束成型,形成增益。

《WiFI天线的波束成形》有1个想法
Pingback 引用通告: WiFi无线网络智能天线技术 | 无线驱动专门网